[TOC]
1. Classification and Representation
使用线性回归来处理 0/1 分类问题总是困难重重的,如下两图,在第一幅图中,拟合曲线成功的区分了 0、1 两类,在第二幅图中,如果我们新增了一个输入(右上的 X 所示),此时拟合曲线发生变化,由第一幅图中的紫色线旋转到第二幅图的蓝色线,导致本应被视作 1 类的 X 被误分为了 0 类:


因此,人们定义了逻辑回归来完成 0/1 分类问题。
1.1 sigmoid
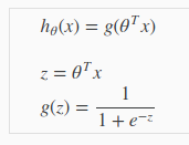
用线性回归预测函数hθ(x)来处理回归问题不太有效,特别对于0/1分类问题。新的逻辑回归预测函数

g(z) 称之为 Sigmoid Function,亦称 Logic Function,其函数图像如下:

预测函数hθ(x) 被很好地限制在0、1之间。阈值为 0.5,大于则为 1 类,反之为 0 类。函数曲线过渡光滑自然。
1.2 Decision Boundary
决策边界,顾名思义,就是用来划清界限的边界,边界的形态可以不定,可以是点,可以是线,也可以是平面。Andrew Ng 在公开课中强调:“决策边界是预测函数 hθ(x)hθ(x) 的属性,而不是训练集属性”,这是因为能作出“划清”类间界限的只有 hθ(x),而训练集只是用来训练和调节参数的。
-
线性决策边界:

-
非线性决策边界:

2. Logistic Regression Model
2.1 Cost Function

当y=0时:

当y=1时:

可以看到,当 hθ(x)≈y 时,cost≈0,预测正确。

2.2 Gradient Descent
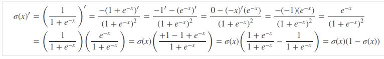
首先了解下sigmoid函数的倒数:

由此可以得出使用梯度下降来调节 θ 的公式:

向量表示

3.Multiclass Classification
通常采用 One-vs-All 方法来实现多分类,其将多分类问题转化为了多次二分类问题。假定完成 K 个分类,One-vs-All 的执行过程如下:
- 轮流选中某一类型 i ,将其视为正样本,即 “1” 分类,剩下样本都看做是负样本,即 “0” 分类。
- 训练逻辑回归模型得到参数 θ(1),θ(2),…,θ(K)θ(1),θ(2),…,θ(K) ,即总共获得了 K−1 个决策边界。

给定输入 xx,为确定其分类,需要分别计算 h(k)θ(x),k=1,…,Khθ(k)(x),k=1,…,K,h(k)θ(x)hθ(k)(x) 越趋近于 1,xx 越接近是第 kk类:
